基本介绍
相关资料
https://pan.baidu.com/s/19dQ52S_ncXCujQ7tGRXVbg?pwd=xvxf 提取码: xvxf
基本介绍

Linux 是一套免费使用和自由传播的操作系统。说到操作系统,大家比较熟知的应该就是 Windows 和 MacOS 操作系统,我们今天所学习的 Linux 也是一款操作系统
我们作为 javaEE 开发工程师,将来在企业中开发时会涉及到很多的数据库、中间件等技术,比如 MySQL、Redis、MQ 等技术,而这些应用软件大多都是需要安装在 Linux 系统中使用的。我们做为开发人员,是需要通过远程工具连接 Linux 操作系统,然后来操作这些软件的。而且一些小公司,可能还需要我们自己在服务器上安装这些软件
所以,不管从企业的用人需求层面,还是个人发展需要层面来讲,我们作为服务端开发工程师,Linux 的基本使用是我们必不可少的技能
对于 Linux 的常用指令的学习,最好的学习方法就是:多敲
主流操作系统
不同领域的主流操作系统,主要分为以下这么几类: 桌面操作系统、服务器操作系统、移动设备操作系统、嵌入式操作系统

Linux 系统版本
内核版
(1)由 Linus Torvalds 及其团队开发、维护
(2)免费、开源
(3)负责控制硬件
发行版
(1)基于 Linux 内核版进行扩展
(2)由各个 Linux 厂商开发、维护
(3)有收费版本和免费版本
以下列举示 Linux 的一些主流发行版

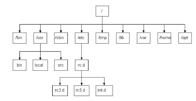
Linux 目录结构


