权限相关
登录认证
思路分析

示例代码
java
/**
* 用户登录
* @param loginDto
* @return
*/
@Override
public UserVo login(LoginDto loginDto) {
// 根据用户名查询用户
User user = userMapper.selectByUsername(loginDto.getUsername());
// 判断用户是否为空
if(ObjectUtil.isEmpty(user)){
throw new BaseException(BasicEnum.LOGIN_FAIL);
}
// 判断用户是否被禁用
if(user.getDataState().equals(SuperConstant.DATA_STATE_1)){
throw new BaseException(BasicEnum.ACCOUNT_DISABLED);
}
// 判断密码是否正确
if(!BCrypt.checkpw(loginDto.getPassword(), user.getPassword())){
throw new BaseException(BasicEnum.INCORRECT_PASSWORD);
}
// 对象转换
UserVo userVo = BeanUtil.toBean(user, UserVo.class);
// 密码脱敏
userVo.setPassword("");
// 根据用户生成 JWT
Map<String,Object> claims = new HashMap<>();
claims.put("currentUser", JSONUtil.toJsonStr(userVo));
String token = JwtUtil.createJWT(jwtTokenManagerProperties.getBase64EncodedSecretKey(), jwtTokenManagerProperties.getTtl(),
claims);
userVo.setUserToken(token);
return userVo;
}鉴权思路
相关概念
授权:用户认证成功后,根据用户的角色来确定其是否有权利执行或访问资源(分配资源)
鉴权:用户通过认证并被授权后进行的一道安全检查,判断用户是否有权利执行或访问该资源(校验资源)
思路分析




sql
-- 参考 sql
select sr.request_path requestPath
from sys_user_role sur,
sys_role_resource srr,
sys_resource sr
where sur.role_id = srr.role_id
and srr.resource_no = sr.resource_no
and sr.data_state = '0'
and sr.resource_type = 'r' -- 资源类型为按钮
and sur.user_id = #{userId}路径匹配
由于请求路径后可能会带有 /* 或者 /**,只需要匹配前面的部分,这是可以借助 Hutool 工具包中 的 AntPathMatcher 类来实现,直接注入进来,调用 match 方法即可
匹配规则如下
(1)?匹配一个字符
(2)* 匹配 0 个或多个字符
(3)** 匹配 0 个或多个目录
java
// 在拦截器中,通过重写的 preHandle 方法中的参数获取当前请求路径
String targetUrl = request.getMethod() + request.getRequestURI();
// 遍历可以访问的路径,匹配当前路径是否在 urllist 集合中
for(String url : urlList){
if(antPathMatcher.match(url, targetUrl)){
//存储当前线程中
UserThreadLocal.setSubject(userJson);
return true;
}
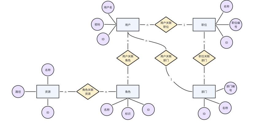
}RBAC 权限模型
一共包含了 7 张表来进行权限控制:用户表、角色表、资源表、职位表、部门表。
用户与职位是 N:1 关系
用户与部门是 N:1 关系
用户与角色是 N:N 关系,则它们之间必然有一个中间表
角色与资源是 N:N 关系,则它们之间必然有一个中间表

BCrypt 密码加密
摘要加密
摘要加密:对数据进行哈希运算来生成一个固定长度的摘要(也称为哈希值或消息摘要)。
特点:不可逆,唯一性,BCrypt 对于同一个字符串加密多次是不同的,主要是因为添加了随机盐(随机字符串),更加安全
场景:密码加密、数字签名
常见的加密算法:MD5、BCrypt
对比 MD5 加密

示例代码
java
// 密码加密
String password = BCrypt.hashpw("123456", BCrypt.gensalt());
System.out.println(password);
// 输出 $2a$10$rkB/70Cz5UvsE7F5zsBh8O2EYDoGus3/AnVrEgP5cTpsGLxM8iyG
// 密码校验
boolean checkpw = BCrypt.checkpw("123456", "$2a$10$rkB/70Cz5UvsE7F5zsBh8O2EYDoGus3/AnVrEgP5cTpsGLxM8iyG6");
// 加密后,数据库存储的就是加密后的字符串
// 校验密码时可以从数据库中获得加密后的字符串,传入 checkpw 方法进行校验